Dax Function: RATE
Reviewed by Neetu Singla — Founder, Lets Viz Technologies — AI & Data Consultant. Last reviewed April 9, 2026.Category: Financial Functions
The RATE function in Power BI calculates the interest rate per period of an annuity. It is often used to solve for the discount rate required to achieve specific financial outcomes.
Purpose
Determine the periodic interest rate for a financial instrument given other variables such as payment, future value, and number of periods.
Commonly used in loan analysis, investment calculations, and retirement planning.
Type of Calculations
Rate of Return: Calculates the interest rate based on a series of regular payments and a future value.
Solves iteratively for the rate that equates the present value of cash flows with the given parameters.
Practical Use Cases
Loan Analysis: Determine the annual percentage rate (APR) for loans based on monthly payments.
Investment Returns: Assess the return rate needed to achieve a future investment target.
Savings Goals: Calculate the rate required to reach a savings milestone.
RATE(nper, pmt, pv, [fv], [type], [guess])
| Parameter | Type | Description |
|---|---|---|
nper | Scalar | Total number of payment periods. |
pmt | Scalar | Payment amount for each period. Negative values represent outflows, and positive values represent inflows. |
pv | Scalar | Present value of the investment or loan. |
[fv] | Scalar | Optional. Future value after all payments. Defaults to 0. |
[type] | Scalar | Optional. Timing of payments: 0 (default) for end of period, 1 for beginning. |
[guess] | Scalar | Optional. Initial guess for the rate. Defaults to 0.1 (10%). |
How Does RATE Dax Works
Mathematical Principle
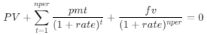
The RATE function solves for the interest rate (raterate) that satisfies the following equation:

Where:
rate: Periodic interest rate.
nper: Total payment periods.
pmt: Regular payment amount.
pv: Present value.
fv: Future value.
Key Points
The function uses an iterative approach (Newton’s method) to find the solution.
Convergence depends on the initial guess and parameter values.
What Does It Return?
- Scalar Value: The calculated periodic interest rate as a decimal (e.g.,
0.05for 5%).
When Should We Use It?
Loan Terms: Determine the effective interest rate for a loan with specific terms.
Investment Planning: Find the rate of return required to achieve an investment goal.
Financial Analysis: Assess the cost of financing or the yield on financial products.
Examples
Basic Usage :
Calculate the periodic interest rate for a loan with:
Loan amount (PV) = $10,000.
Monthly payment (PMT) = -$200.
Total periods (NPER) = 60.
No future value (FV = 0).
RATE(60, -200, 10000)
Result: 0.0043 (approximately 0.43% monthly rate).
Column Usage
For a table of loans:
| LoanID | Periods | Payment | LoanAmount | FutureValue | Type |
|---|---|---|---|---|---|
| 1 | 60 | -200 | 10000 | 0 | 0 |
| 2 | 120 | -150 | 20000 | 1000 | 1 |
LoanRate = RATE(Loans[Periods], Loans[Payment], Loans[LoanAmount], Loans[FutureValue], Loans[Type])
Result: Computes the periodic interest rate for each loan scenario.
Advanced Usage
Combine RATE with conditional logic to handle varying loan types:
DynamicRate =
IF(Loans[Type] = 1,
RATE(Loans[Periods], Loans[Payment], Loans[LoanAmount], Loans[FutureValue], 1),
RATE(Loans[Periods], Loans[Payment], Loans[LoanAmount])
)
Result: Adjusts rate calculations based on payment timing.
Tips and Tricks
Ensure payment frequency aligns with
nper(e.g., monthly payments and periods).Provide an appropriate
guessvalue for better convergence in edge cases.A poor initial guess may result in no convergence or incorrect values.
Parameter mismatch (e.g., monthly vs. annual rates) can lead to errors.
Performance Impact of RATE DAX Function:
Efficient for small datasets.
For large datasets, pre-calculate static values to improve performance.
Related Functions You Might Need
| Function | Description |
|---|---|
PV | Calculates the present value of an investment or loan. |
FV | Computes the future value of an investment or loan. |
PMT | Determines the periodic payment amount for a loan or investment. |
NPV | Calculates the net present value of irregular cash flows. |
Want to Learn More?
For more information, check out the official Microsoft documentation for RATE You can also experiment with this function in your Power BI reports to explore its capabilities.
Unlock the full capabilities of Power BI and elevate your data insights with our specialized consulting services. Whether you need guidance on advanced DAX functions like those highlighted here, support in designing interactive dashboards, or expertise in optimizing data models for enhanced performance, our experienced Power BI consultants are equipped to deliver customized solutions for your business. Explore our Power BI Consulting Services page to discover how we can help your organization make smarter, data-driven decisions.
The RATE function computes the periodic interest rate required to meet financial obligations based on payments, present value, and other factors.
Yes, but ensure the payment frequency matches the nper. For annual rates, use annual periods and payments.
Adjust the guess parameter or verify the input values for feasibility.
No, the RATE function assumes consistent periodic payments. Use NPV for irregular cash flows.
Multiply the periodic rate by the number of periods per year (e.g., 12 for monthly payments).
Need Power BI help in a real engagement?
Our team writes DAX like this every day for SaaS finance and ops teams. Refresh monitoring, change requests with a 2-business-day SLA, and a named analyst on retainer — or scoped hourly help if you just need a fix.
Named analyst2-day SLAFrom $5K/mo
