Dax Function: ODDLYIELD
Reviewed by Neetu Singla — Founder, Lets Viz Technologies — AI & Data Consultant. Last reviewed April 9, 2026.Category: Financial Functions
The ODDLYIELD function in Power BI calculates the yield of a bond with an odd (irregular) last interest period. The yield is the effective interest rate earned by the bondholder, taking into account the unique structure of the final interest period.
Purpose
Provides the annualized yield for bonds with irregular last periods.
Adjusts for irregularities in bond cash flows for more accurate yield evaluation.
Type of Calculations
Computes the effective yield based on the bond’s cash flows and timing.
Adjusts calculations to account for the non-standard duration or payment structure of the last interest period.
Practical Use Cases
Bond Analysis: Evaluate the yield for bonds nearing maturity with non-standard final periods.
Investment Decisions: Compare yields of different bonds, including those with irregularities.
Portfolio Optimization: Determine accurate returns on investment for bonds with unique payment schedules.
ODDLYIELD(settlement, maturity, last_interest, rate, price, redemption, frequency, [basis])
| Parameter | Type | Description |
|---|---|---|
settlement | Scalar | The bond’s settlement date. The date the buyer purchases the bond. Must be a valid date. |
maturity | Scalar | The bond’s maturity date. The date the principal is repaid. Must be a valid date. |
last_interest | Scalar | The last interest payment date before maturity. Must be a valid date. |
rate | Scalar | The bond’s annual coupon rate. Expressed as a decimal (e.g., 5% = 0.05). |
price | Scalar | The bond’s price per $100 face value. |
redemption | Scalar | The bond’s redemption value per $100 face value. For example, 100 = par, 105 = premium. |
frequency | Scalar | The number of coupon payments per year: 1 = annual, 2 = semi-annual, 4 = quarterly. |
[basis] | Scalar | (Optional) The day count basis: 0 = 30/360 (default), 1 = actual/actual, 2 = actual/360, 3 = actual/365, 4 = 30E/360. |
How Does ODDLYIELD Dax
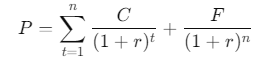
The ODDLYIELD function calculates the bond yield by solving for the rate rr in the bond pricing formula:
Where:
P: Bond price.
C: Coupon payment.
F: Redemption value.
r: Yield (to be determined).
n: Number of periods.
Adjustments are made for the irregular last-period cash flow.
What Does It Return?
Scalar Value: Returns the annualized yield of the bond as a numeric value.
The result is expressed as a decimal, representing the effective rate of return.
When Should We Use It?
Irregular Last-Period Bonds: For bonds with non-standard final periods.
Yield Comparison: Analyze the returns on bonds with and without irregular periods.
Fixed-Income Analysis: Use for detailed yield calculations in financial reporting.
Examples
Basic Usage :
Calculate the yield for a bond with:
Settlement Date:
2025-01-01Maturity Date:
2030-01-01Last Interest Date:
2029-06-01Coupon Rate: 5% (0.05)
Price: 102
Redemption: 100
Frequency: 2 (Semi-annual)
ODDLYIELD(DATE(2025, 1, 1), DATE(2030, 1, 1), DATE(2029, 6, 1), 0.05, 102, 100, 2)
Result: 0.046 (4.6% yield approximately).
Column Usage
Compute bond yields for multiple bonds in a table:
| BondID | Settlement | Maturity | LastInterest | Rate | Price | Redemption | Frequency |
|---|---|---|---|---|---|---|---|
| 1 | 2025-01-01 | 2030-01-01 | 2029-06-01 | 0.05 | 102 | 100 | 2 |
| 2 | 2025-02-01 | 2035-02-01 | 2034-08-01 | 0.06 | 105 | 100 | 1 |
Add a calculated column:
Yield = ODDLYIELD(Bonds[Settlement], Bonds[Maturity], Bonds[LastInterest], Bonds[Rate], Bonds[Price], Bonds[Redemption], Bonds[Frequency])
Advanced Usage
Combine ODDLYIELD with conditional logic for scenario analysis:
AdjustedYield =
IF(
Bonds[Redemption] > 100,
ODDLYIELD(Bonds[Settlement], Bonds[Maturity], Bonds[LastInterest], Bonds[Rate], Bonds[Price], Bonds[Redemption], Bonds[Frequency]) * 1.02,
ODDLYIELD(Bonds[Settlement], Bonds[Maturity], Bonds[LastInterest], Bonds[Rate], Bonds[Price], Bonds[Redemption], Bonds[Frequency])
)
Applies a 2% premium for bonds redeemed above par.
Tips and Tricks
Use consistent day-count conventions for better comparability.
Validate all date inputs to avoid errors.
Invalid Basis: Ensure the basis matches the bond terms to avoid inaccuracies.
Non-Standard Frequencies: Check that frequency values align with market norms.
Performance Impact of ODDLYIELD DAX Function:
Efficient for individual bond yield calculations.
For large datasets, consider preprocessing static inputs like
rateandfrequencyto improve performance.
Related Functions You Might Need
| Function | Description |
|---|---|
ODDLPRICE | Calculates the price of a bond with an odd last period. |
YIELD | Evaluates the yield of a bond with standard payment intervals. |
ODDFYIELD | Computes the yield of a bond with an odd first interest period. |
Want to Learn More?
For more information, check out the official Microsoft documentation for ODDLYIELD You can also experiment with this function in your Power BI reports to explore its capabilities.
Unlock the full capabilities of Power BI and elevate your data insights with our specialized consulting services. Whether you need guidance on advanced DAX functions like those highlighted here, support in designing interactive dashboards, or expertise in optimizing data models for enhanced performance, our experienced Power BI consultants are equipped to deliver customized solutions for your business. Explore our Power BI Consulting Services page to discover how we can help your organization make smarter, data-driven decisions.
It calculates the annualized yield for a bond with an irregular last interest period.
No, it’s specifically designed for bonds with non-standard last-period payments.
The function defaults to a 30/360 day count basis.
ODDLYIELD adjusts for irregular last-period cash flows, while YIELD assumes standard intervals.
Yes, it accounts for bonds at premium or discount.
Need Power BI help in a real engagement?
Our team writes DAX like this every day for SaaS finance and ops teams. Refresh monitoring, change requests with a 2-business-day SLA, and a named analyst on retainer — or scoped hourly help if you just need a fix.
Named analyst2-day SLAFrom $5K/mo

