Dax Function: ATANH
Reviewed by Neetu Singla — Founder, Lets Viz Technologies — AI & Data Consultant. Last reviewed April 10, 2026.Category: Mathematical and Trigonometric Functions
The ATANH function in Power BI is a DAX (Data Analysis Expressions) function that calculates the inverse hyperbolic tangent (arctanh) of a given number. The result is a scalar value that represents the hyperbolic angle in radians corresponding to the given value.
Purpose
The ATANH function is used for mathematical and scientific calculations involving hyperbolic functions. It is particularly helpful in domains like physics, engineering, and data modeling where hyperbolic functions are applied.
Type of Calculations
The ATANH function performs the inverse hyperbolic tangent calculation. It takes a number x (where −1 < x < 1) and computes the hyperbolic angle yy such that:
tanh(y)=x
Practical Use Cases
- Scientific Applications: Solving equations in physics or engineering involving hyperbolic functions.
- Data Transformation: Converting scaled data into a hyperbolic angle representation.
- Signal Processing: Modeling hyperbolic relationships in data patterns.
ATANH(<number>)</number>
How Does ATAN Dax Function Works?
The ATANH function calculates the inverse hyperbolic tangent using the formula:

Where:
- x is the input value.
- ln represents the natural logarithm.
The input xx must lie within the range −1< x < 1. If the input is outside this range, the function will return an error.
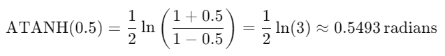
Mathematical Example
For x = 0.5 :

| Parameter | Type | Description |
|---|---|---|
<number> | Scalar | A numeric value between -1 and 1 (exclusive). Represents the input for which the inverse hyperbolic tangent is calculated. |
What Does It Return?
The ATANH function returns a scalar value representing the inverse hyperbolic tangent of the input number in radians.
When Should We Use It?
- When modeling relationships with hyperbolic functions in scientific or mathematical datasets.
- For transforming data in machine learning workflows.
- To compute hyperbolic angles for scaled data in visualization and analysis.
Examples
Basic Usage
ATANH(0.5)
Output: radians.
Column Usage
Suppose you have a column [Values] containing numbers between -1 and 1. You can calculate the inverse hyperbolic tangent for each row as:
= ATANH([Values])
This calculates the arctangent for each row in the column.
Advanced Usage
Combine with other DAX functions for complex calculations:
= ATANH(AVERAGE([Scaled Data]))
This computes the inverse hyperbolic tangent of the average of a column [Scaled Data].
Tips and Tricks
- Input Range: Ensure the input values are strictly between -1 and 1. Inputs outside this range will result in an error.
- Radians Conversion: The result is in radians. If degrees are required, use the DEGREES function to convert.
- Combining with Other Functions: Combine with aggregation functions like SUM, AVERAGE, or MAX to apply ATANH to summarized data.
Performance Impact of ATANH DAX Function:
- For large datasets, use SUMMARIZE or similar functions to pre-aggregate data before applying ATANH.
- Validate input ranges to avoid errors during computation.
Related Functions You Might Need
- TANH: Computes the hyperbolic tangent of a number.
- ATAN: Calculates the inverse tangent (arctan) of a number.
- LN: Returns the natural logarithm of a number.
- DEGREES: Converts radians to degrees.
Want to Learn More?
For more information, check out the official Microsoft documentation for ATANH. You can also experiment with this function in your Power BI reports to explore its capabilities.
If you’re looking to unlock the full potential of Power BI and take your data insights to the next level, our expert Power BI consulting services are here to help. Whether you need assistance with implementing advanced DAX functions like the ones discussed here, creating interactive dashboards, or optimizing your data models for better performance, our team of seasoned Power BI consultants is ready to provide tailored solutions for your business. Visit our Power BI Consulting page to learn more about how we can empower your organization with data-driven decisions.
The ATANH function calculates the inverse hyperbolic tangent (arctanh) of a given number and returns the result in radians.
The input must lie within the range −1 < x < 1. Values outside this range will result in an error.
Use the DEGREES function to convert the radians output to degrees.
Yes, you can apply the ATANH function to a column using a DAX expression like = ATANH([Column Name]).
No, it is efficient for scalar calculations, but pre-aggregating data for large datasets is recommended for better performance.
Need Power BI help in a real engagement?
Our team writes DAX like this every day for SaaS finance and ops teams. Refresh monitoring, change requests with a 2-business-day SLA, and a named analyst on retainer — or scoped hourly help if you just need a fix.
Named analyst2-day SLAFrom $5K/mo
